Математика

Арифметические и алгебраические преобразования
Целые, рациональные и действительные числа
Два числа, равные по модулю, но противоположные по знаку, называются противоположными.
Натуральные числа, противоположные им числа и число 0 составляют вместе множество целых чисел. Множество целых чисел обозначается буквой Z .

Число вида m n , где m , n N , называется обыкновенной дробью. Число m называется числителем дроби, число n — знаменателем.

Два числа, произведение которых равно 1, называются взаимнообратными.

Дробь называется правильной, если ее числитель меньше знаменателя, и неправильной, если ее числитель больше знаменателя или равен ему.
Основное свойство дроби

Если числитель и знаменатель дроби умножить или разделить на одно и то же число, не равное 0, то получится дробь, равная данной, т.е. m n = m · p n · p , где p 0 .
Число вида m n , где m Z , n N , называется рациональным. Множество рациональных чисел обозначается буквой Q.
Правила выполнения арифметических действий над рациональными числами
  • Сложение m n + a b = m b + a n n b .
  • Вычитание m n a b = m b a n n b .
  • Умножение m n · a b = m a n b .
  • Деление m n : a b = m n · b a = m b n a .
Десятичные дроби — это такие обыкновенные дроби, у которых знаменатель — степень числа 10, т.е. 10; 100; 1000 и т.д.

Десятичные дроби записываются без знаменателей. Сначала пишется целая часть числа, справа от нее ставится запятая; первая цифра после запятой означает число десятых (т.е. десятых долей единицы), вторая — сотых, третья — тысячных и т.д. Цифры, стоящие после запятой, называются десятичными знаками.

Бесконечной называется десятичная дробь, у которой после запятой бесконечно много цифр.

Часто при расчетах нет необходимости в большой точности вычислений, в этом случае числа подлежат округлению, что значительно упрощает расчеты.

Округление — это математическая операция, позволяющая уменьшить количество знаков в числе за счёт замены числа его приближенным значением с определённой точностью.

При округлении числа до какого-нибудь разряда цифры во всех следующих разрядах заменяют нулями, а стоящие после запятой — отбрасывают.

Если цифра, следующая за остающимся разрядом:

  • равна 5, 6, 7, 8 или 9, то остающийся разряд увеличивают на 1;
  • равна 0, 1, 2, 3 или 4, то остающийся разряд оставляют без изменения.
Каждое рациональное число m n может быть представлено в виде конечной или бесконечной десятичной дроби. Это достигается делением числителя на знаменатель.
Обыкновенная несократимая дробь m n может быть записана конечной десятичной дробью тогда и только тогда, когда ее знаменатель не содержит никаких других простых множителей, кроме 2 или 5.
Бесконечную десятичную дробь называют периодической, если у нее, начиная с некоторого места, одна цифра или группа цифр повторяется, непосредственно следуя одна за другой. Повторяющуюся цифру или группу цифр называют периодом и записывают в скобках. Например, 244 : 33 = 7,393939… = 7,(39).

Если период начинается сразу после запятой, то дробь называют чисто периодической; если же между запятой и периодом есть другие десятичные знаки, то дробь называют смешанной периодической.
Правила обращения периодической дроби в обыкновенную

1. Для обращения чистой периодической дроби в обыкновенную в числителе оставляют период десятичной дроби, а в знаменателе — число, состоящее из девяток, взятых столько раз, сколько знаков в периоде десятичной дроби.

Например: 0,(354) = 3 5 4 9 9 9 = 1 1 8 3 3 3 ; 5,(27) = 5 2 7 9 9 = 5 3 1 1 .


2. Для обращения смешанной периодической десятичной дроби в обыкновенную в числителе берут число, стоящее в десятичной дроби до второго повторения периода, минус число, стоящее в десятичной дроби до периода; в знаменателе нужно писать столько девяток, сколько цифр в периоде, и приписать к ним столько нулей, сколько цифр в исходной десятичной дроби от запятой до периода.

Например: 0,5(36) = 5 3 6 - 5 9 9 0 = 5 9 1 1 0 ; 2,31(6) = 2 3 1 6 - 3 1 9 0 0 = 2 2 8 5 9 0 0 = 2 1 9 6 0 .
Бесконечная десятичная непериодическая дробь называется иррациональным числом.

Примерами иррациональных чисел служат квадратные корни из натуральных чисел, не являющихся квадратами натуральных чисел. Например, 3 , 7 , 11 . Иррациональными являются числа π 3 , 14159... ; e 2 , 7183... .
Рациональные и иррациональные числа образуют множество действительных (вещественных) чисел. Множество действительных чисел обозначается буквой R .

Пример 12. При каких натуральных значениях n дробь 2 n 3 n + 1 является целым числом?

Решение. Выделим целую часть данной дроби, разделив числитель на знаменатель: 2 n 3 n + 1 = 2 5 n + 1 .

Чтобы дробь 5 n + 1 принимала целые значения, 5 должно быть кратно n + 1 . А это возможно, если n + 1 = 1 ; n + 1 = −1 ; n + 1 = 5 ; n + 1 = −5 . Откуда находим n = 0 ; n = −2 ; n = 4 ; n = −6 . Но по условию n — число натуральное, поэтому в ответ запишем число 4.

Ответ: 4.

Пример 13. При каких натуральных значениях n число m, равное дроби 4 n + 3 5 n + 2 , является целым?

Решение. Число будет целым, если mn и кратно n. Составим неравенство 4m + 3 ≥ 5m + 2. Решив его, получим, что n ≤ 1. Единственным натуральным значением n является число 1. Действительно, при n = 1 дробь 4 n + 3 5 n + 2 принимает значение 1.

Ответ: 1.

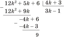
Пример 14. Указать наибольшее целое k , при котором дробь 12 k 2 + 5 k + 6 4 k + 3

является целым числом.

Решение. Выделим целую часть данной дроби, разделив числитель на знаменатель

Тогда 12 k 2 + 5 k + 6 4 k + 3 = 3 k 1 + 9 4 k + 3 . Исходная дробь будет целым числом, если 9 делится на 4 k + 3 . А это возможно, когда 4 k + 3 = −1 ; 4 k + 3 = 1 ; 4 k + 3 = −3 ; 4 k + 3 = 3 ; 4 k + 3 = −9 ; 4 k + 3 = 9 . Так как k Z , то получим k = −3 ; k = −1 ; k = 0 . В ответ запишем большее значение k .

Ответ: 0.